logo

Crowdly

Browser

Add to Chrome

Mécanique des milieux continus

Looking for Mécanique des milieux continus test answers and solutions? Browse our comprehensive collection of verified answers for Mécanique des milieux continus at pedagogie.eigsi.fr.

Get instant access to accurate answers and detailed explanations for your course questions. Our community-driven platform helps students succeed!

Les composantes d'un tenseur dépendent de la base utilisée pour exprimer ce tenseur

0%
0%
View this question

Au centre de l'image, la divergence du champ de vecteurs ci-dessus est

View this question

Le gradient d’une grandeur scalaire f quantifie

0%
0%
0%
0%
View this question

View this question

L’expression en notation indicielle c=ai.bi

représente, en calcul vectoriel

View this question

Attribuer au Symbole de Levi-Civita correspondant la bonne valeur

View this question

δ est le Symbole de Kronecker.

Calculer les valeurs ci-dessous

View this question

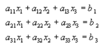
Le système

peut s’écrire en notation indicielle, avec i=1..3, j=1..3, k=1,..3

View this question

A l'échelle microscopique, il n'existe aucun milieu dont les grandeurs caractéristiques (masse volumique par exemple) sont continues

100%
0%
View this question

La MMC est la discipline qui établit et exploite les lois de la mécanique communes aux solides et aux fluides, pour tout type de milieu, sollicitation / mouvement....etc.

A partir de cette théorie commune, comment sont édifiées les théories propres à la mécanique des solides ou à la mécanique des fluides ?

View this question

Want instant access to all verified answers on pedagogie.eigsi.fr?

Get Unlimited Answers To Exam Questions - Install Crowdly Extension Now!

Browser

Add to Chrome