logo

Crowdly

Browser

Add to Chrome

Фізика

Looking for Фізика test answers and solutions? Browse our comprehensive collection of verified answers for Фізика at dl.nure.ua.

Get instant access to accurate answers and detailed explanations for your course questions. Our community-driven platform helps students succeed!

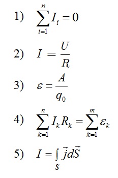
Чому відповідає наступна формула?

0%
0%
0%
0%
0%
View this question

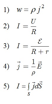
Який вигляд має закон Ома для

замкнутого кола?

0%
0%
0%
0%
0%
View this question

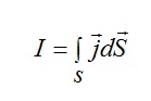
Що визнчається наступною формулою?

0%
0%
0%
0%
0%
View this question

Від чого залежить  опір провідника?

0%
0%
0%
0%
0%
View this question

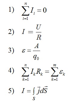
Що з перерахованого є правилом Кірхгофа?

0%
0%
0%
0%
0%
View this question

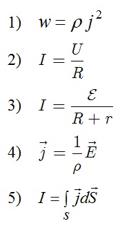
Яка з наведених формул є законом Ома?

0%
0%
0%
0%
0%
View this question

Що називається силою струму?

0%
0%
0%
0%
0%
View this question

Що таке густина струму?

0%
0%
0%
0%
0%
View this question

Що з перерахованого є правилом Кірхгофа?

0%
0%
0%
0%
0%
View this question

Під дією зовнішнього електричного поля зв'язані заряди

0%
0%
0%
0%
View this question

Want instant access to all verified answers on dl.nure.ua?

Get Unlimited Answers To Exam Questions - Install Crowdly Extension Now!

Browser

Add to Chrome