logo

Crowdly

Browser

Add to Chrome

Фізика

Looking for Фізика test answers and solutions? Browse our comprehensive collection of verified answers for Фізика at dl.nure.ua.

Get instant access to accurate answers and detailed explanations for your course questions. Our community-driven platform helps students succeed!

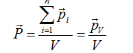
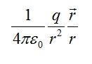
Яка фізична величина визначається наступною формулою?

0%
0%
0%
0%
View this question
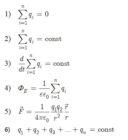
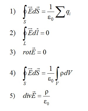
Чому відповідає наступна формула?

0%
0%
0%
0%
0%
View this question

 За

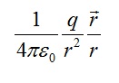
визначенням величину вектора поляризації можна визначити за формулою:

0%
0%
0%
View this question

Одиницею вимірювання потенціалу є

0%
0%
0%
0%
0%
View this question
Формула відповідає ємності

View this question

Якою формулою визначається закон збереження

електричного заряду?

0%
0%
0%
0%
0%
0%
View this question

Якя формула відповідає теоремі про циркуляцію напруженості електричного поля?

View this question
Які з властивостей має електричний заряд?
View this question

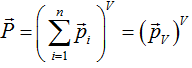
Яка фізична величина визначається наступною формулою?

View this question

Якою формулою визначається теорема Гаусса?

0%
0%
0%
0%
0%
View this question

Want instant access to all verified answers on dl.nure.ua?

Get Unlimited Answers To Exam Questions - Install Crowdly Extension Now!

Browser

Add to Chrome