logo

Crowdly

Browser

Add to Chrome

Фізика

Looking for Фізика test answers and solutions? Browse our comprehensive collection of verified answers for Фізика at dl.nure.ua.

Get instant access to accurate answers and detailed explanations for your course questions. Our community-driven platform helps students succeed!

 

До якого типу відносяться

діелектрики, які складаються з атомів 

або молекул, у яких

центри розподілу негативних та позитивних зарядів

не співпадають 

і

мають,

власний, сталий за модулем дипольний момент.

0%
0%
0%
0%
View this question

Одиницею вимірювання електрорушійної сили є

0%
0%
0%
0%
0%
View this question

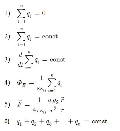
Якою формулою визначається закон збереження

електричного заряду?

0%
0%
0%
0%
0%
0%
View this question

Чому з наведеного відповідає наступна формула?

0%
0%
0%
0%
View this question

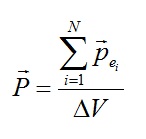
Експериментально доведено

,

що для ізотропних діелектриків і невеликих електричних полів вектор

поляризації   P  лінійно пов’язаний з

напруженістю

поля   співвідношенням

0%
0%
0%
0%
View this question

Який вигляд має закон Ома для

замкнутого кола?

0%
0%
0%
0%
0%
View this question

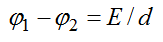
Різниця потенціалів між двома точками в однорідному полі дорівнює

0%
0%
0%
0%
View this question
Формула відповідає ємності

0%
0%
0%
0%
View this question

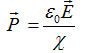
Зв'язок вектора

поляризації діелектрика

P з

напруженістю

електричного поля визначається виразом:

0%
0%
0%
0%
View this question

Визначенням якої фізичної величини є наступна формула?

0%
0%
0%
0%
View this question

Want instant access to all verified answers on dl.nure.ua?

Get Unlimited Answers To Exam Questions - Install Crowdly Extension Now!

Browser

Add to Chrome