logo

Crowdly

Browser

Add to Chrome

Фізика

Looking for Фізика test answers and solutions? Browse our comprehensive collection of verified answers for Фізика at dl.nure.ua.

Get instant access to accurate answers and detailed explanations for your course questions. Our community-driven platform helps students succeed!

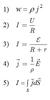
Яка з наведених формул є законом Ома?

0%
0%
0%
0%
0%
View this question

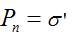
Зв’язок вектора поляризації P з поверхневою густиною зв’язаних зарядів s

', що з’являються на

поверхні діелектрика поміщеного в зовнішнє електричне поле визначається

співвідношенням:

0%
0%
0%
0%
View this question

Принцип суперпозиції потенціалів полів свідчить, що

0%
0%
0%
0%
View this question

Процесс

поляризації діелектрика,

для якого характерно створення індукованих дипольних моментів за

рахунок деформації електронних орбіт неполярних

молекул називають

0%
0%
0%
0%
View this question

 

Принцип

суперпозиції електричних полів свідчить, що:

0%
0%
0%
0%
View this question

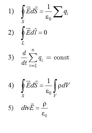
Якою формулою визначається теорема Гаусса?

0%
0%
0%
0%
0%
View this question

 

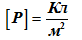
Одиницею вимірювання вектора

поляризації P є

:

0%
0%
0%
0%
View this question

Процесс

поляризації діелектрика,

для якого характерна орієнтація

 

полярних молекул удовж електричного

поля називають...

0%
0%
0%
0%
View this question

Діелектрична

проникність полярних діелектриків

0%
0%
0%
View this question

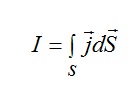
Що визнчається наступною формулою?

0%
0%
0%
0%
0%
View this question

Want instant access to all verified answers on dl.nure.ua?

Get Unlimited Answers To Exam Questions - Install Crowdly Extension Now!

Browser

Add to Chrome