logo

Crowdly

Browser

Add to Chrome

Фізика

Looking for Фізика test answers and solutions? Browse our comprehensive collection of verified answers for Фізика at dl.nure.ua.

Get instant access to accurate answers and detailed explanations for your course questions. Our community-driven platform helps students succeed!

Що таке довжина шляху?

View this question

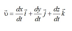
Для чого з перерахованого справедлива наступна формула?

0%
0%
0%
0%
100%
View this question

До чого з перерахованого відноситься наступне визначення:

 тіло, яке не деформується за жодних

взаємодій

0%
0%
0%
0%
View this question

Який рух називається поступальним?

0%
0%
0%
0%
View this question

Яке з наступних тверджень справедливе?

0%
0%
0%
0%
0%
View this question

Що таке переміщення

матеріальної точки?

0%
0%
0%
0%
0%
View this question

Що з перерахованого входить до складу системи відліку в механіці?

0%
100%
100%
100%
0%
View this question

Want instant access to all verified answers on dl.nure.ua?

Get Unlimited Answers To Exam Questions - Install Crowdly Extension Now!

Browser

Add to Chrome