logo

Crowdly

Browser

Add to Chrome

Фізика

Looking for Фізика test answers and solutions? Browse our comprehensive collection of verified answers for Фізика at dl.nure.ua.

Get instant access to accurate answers and detailed explanations for your course questions. Our community-driven platform helps students succeed!

Чому дорівнює швидкість гармонічного осцилятора?

View this question

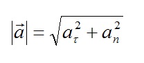
Яка з фізичних величин визначається наступною формулою?

0%
0%
0%
0%
0%
View this question

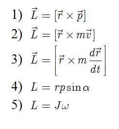
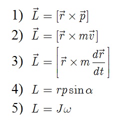
Яка з наведених формул відповідає моменту імпульсу матеріальної точки відносно

нерухомої точки?

0%
0%
0%
0%
0%
View this question

Які коливання називаються незгасаючими?

0%
0%
0%
0%
View this question

Що зветься періодом коливань?

View this question

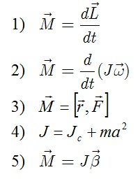
Який  з виразів є основним законом динаміки обертального руху?

0%
0%
0%
0%
0%
View this question

Чому дорівнює кінетична енергія тіла що обертається?

0%
0%
0%
0%
0%
View this question

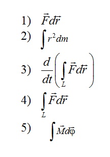
Якою формулою визначається робота при обертанні тіла?

View this question

Що визначається наступною формулою?

0%
0%
0%
0%
0%
View this question

Яка з наведених формул відповідає моменту імпульсу матеріальної точки відносно

нерухомої точки?

0%
View this question

Want instant access to all verified answers on dl.nure.ua?

Get Unlimited Answers To Exam Questions - Install Crowdly Extension Now!

Browser

Add to Chrome