logo

Crowdly

Browser

Add to Chrome

Фізика

Looking for Фізика test answers and solutions? Browse our comprehensive collection of verified answers for Фізика at dl.nure.ua.

Get instant access to accurate answers and detailed explanations for your course questions. Our community-driven platform helps students succeed!

Якій фізичній величині відповідає наступна формула?

View this question

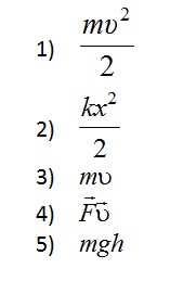
Яка з наступних формул є формулою для енергії?

0%
0%
View this question

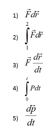
Яка з наступних формул відповідає роботі?

0%
0%
0%
View this question

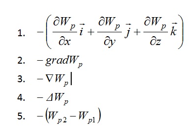
 Якому з наступних виразів дорівнює сила  в формулі зв'язку сили та потенціальної енергії?

0%
0%
View this question

Які сили називаються

консервативними?

0%
0%
0%
0%
View this question

Який рух називається обертальним?

0%
0%
0%
0%
View this question

Що таке траєкторія руху матеріальної точки?

View this question

Що з перерахованого відноситься до матеріальної точки?

View this question

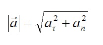
Для чого з перерахованого справедлива наступна формула?

100%
0%
0%
0%
0%
View this question

Яка з фізичних величин визначається наступною формулою?

0%
0%
0%
100%
0%
View this question

Want instant access to all verified answers on dl.nure.ua?

Get Unlimited Answers To Exam Questions - Install Crowdly Extension Now!

Browser

Add to Chrome