logo

Crowdly

Browser

Add to Chrome

Фізика

Looking for Фізика test answers and solutions? Browse our comprehensive collection of verified answers for Фізика at dl.nure.ua.

Get instant access to accurate answers and detailed explanations for your course questions. Our community-driven platform helps students succeed!

Що визначається наступною формулою?

View this question

Чим є наведена формула?

View this question

Що визначається наступною формулою?

0%
0%
0%
0%
0%
View this question

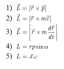
Яка з наведених формул відповідає моменту імпульсу твердого тіла, що обертається навколо нерухомої осі?

0%
0%
0%
0%
0%
View this question

Який з виразів є законом збереження моменту імпульсу?

0%
0%
0%
0%
View this question

Що є одиницею вимірювання потужності?

View this question

Якій фізичній величині відповідає наступна формула?

View this question

Якій фізичній величині відповідає наступна формула?

View this question

Який з виразів є законом Ньютона?

0%
0%
0%
0%
View this question

Якій фізичній величині відповідає наступна формула?

View this question

Want instant access to all verified answers on dl.nure.ua?

Get Unlimited Answers To Exam Questions - Install Crowdly Extension Now!

Browser

Add to Chrome