logo

Crowdly

Browser

Add to Chrome

Фізика

Looking for Фізика test answers and solutions? Browse our comprehensive collection of verified answers for Фізика at dl.nure.ua.

Get instant access to accurate answers and detailed explanations for your course questions. Our community-driven platform helps students succeed!

Яка фізична величина визначається наступною формулою?

0%
0%
0%
0%
View this question

Яка фізична величина визначається наступною формулою?

0%
0%
0%
0%
View this question

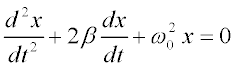
Що визначається наступною формулою?

View this question

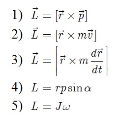
Яка з наведених формул відповідає моменту імпульсу твердого тіла, що обертається навколо нерухомої осі?

View this question

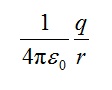
Якій фізичній величині відповідає наступна формула?

View this question

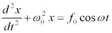
Чому дорівнює прискорення гармонічного осцилятора?

0%
0%
0%
0%
View this question

Що зветься зміщенням?

0%
0%
0%
0%
View this question

Якій фізичній величині відповідає наступна формула?

0%
0%
0%
0%
0%
View this question

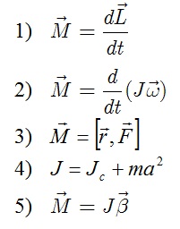
Який  з виразів є основним законом динаміки обертального руху?

0%
0%
0%
0%
0%
View this question

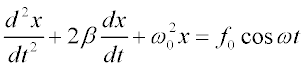
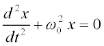
Який вигляд має рівняння вільних гармонічних коливань?

0%
0%
0%
0%
View this question

Want instant access to all verified answers on dl.nure.ua?

Get Unlimited Answers To Exam Questions - Install Crowdly Extension Now!

Browser

Add to Chrome