logo

Crowdly

Browser

Add to Chrome

Фізика

Looking for Фізика test answers and solutions? Browse our comprehensive collection of verified answers for Фізика at dl.nure.ua.

Get instant access to accurate answers and detailed explanations for your course questions. Our community-driven platform helps students succeed!

Результатом чого є биття?

0%
0%
0%
0%
View this question

Чому дорівнює кінетична енергія тіла що обертається?

View this question

Результатом чого є фігури Лісажу?

View this question

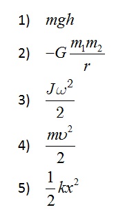
Що визначається наступною формулою?

0%
0%
0%
0%
0%
View this question

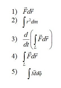
Що визначається наступною формулою?

0%
0%
0%
0%
0%
View this question

Якою формулою визначається робота при обертанні тіла?

View this question

Чим є наведена формула?

0%
0%
0%
0%
View this question

Для чого з перерахованого справедлива наступна формула?

View this question

Який з виразів є законом збереження моменту імпульсу?

0%
0%
0%
0%
View this question

Чому дорівнює період коливань математичного маятника?

View this question

Want instant access to all verified answers on dl.nure.ua?

Get Unlimited Answers To Exam Questions - Install Crowdly Extension Now!

Browser

Add to Chrome