logo

Crowdly

Browser

Add to Chrome

Mécanique du Point

Looking for Mécanique du Point test answers and solutions? Browse our comprehensive collection of verified answers for Mécanique du Point at openschool.estaca.fr.

Get instant access to accurate answers and detailed explanations for your course questions. Our community-driven platform helps students succeed!

Un point matériel M de masse m=250 g, relié à l'origine O par un fil inextensible et sans masse, décrit dans le sens positif un cercle vertical, de centre O et de rayon r=30 cm. g=9,8 m/s². Quelle est la tension du fil au point A, si m/s ?

0%
0%
0%
0%
0%
0%
0%
0%
View this question

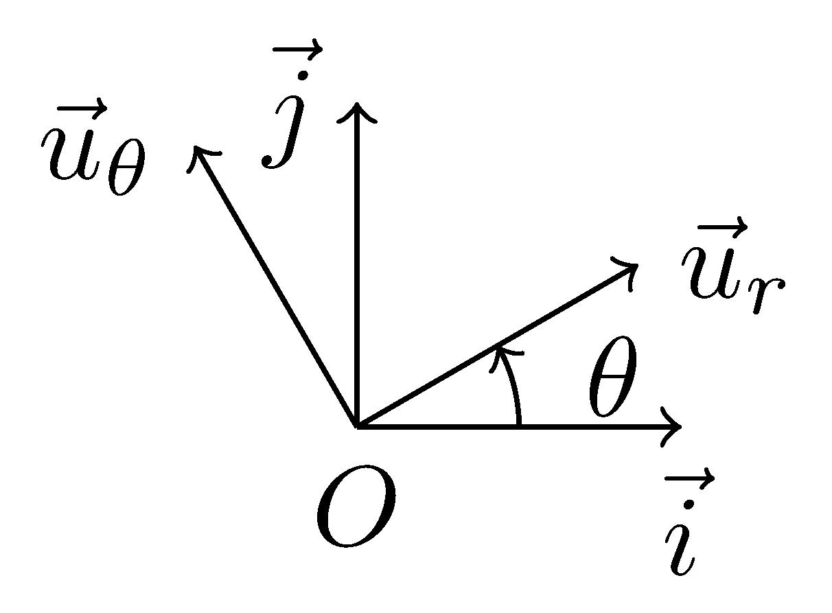
Donnez l’expression du vecteur

de norme

sur la base orthonormée

.

1.3

0%
0%
0%
0%
0%
0%
0%
0%
View this question

Donnez l’expression du vecteur

de norme

sur la base orthonormée

.

1.4

0%
0%
0%
0%
0%
0%
0%
View this question

Donnez l’expression du vecteur

de norme

sur la base orthonormée

.

1.10

0%
0%
0%
0%
0%
0%
0%
View this question

Donnez l’expression du vecteur unitaire

sur la base orthonormée

.

1.2

0%
0%
0%
0%
0%
0%
0%
0%
View this question

Want instant access to all verified answers on openschool.estaca.fr?

Get Unlimited Answers To Exam Questions - Install Crowdly Extension Now!

Browser

Add to Chrome