logo

Crowdly

Browser

Add to Chrome

Matemáticas I (2024/2025)

Looking for Matemáticas I (2024/2025) test answers and solutions? Browse our comprehensive collection of verified answers for Matemáticas I (2024/2025) at moodle.unizar.es.

Get instant access to accurate answers and detailed explanations for your course questions. Our community-driven platform helps students succeed!

La igualdad J(g·f)(=Jg(f())·Jf() se le conoce como regla de la cadena.

0%
0%
View this question
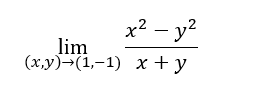
Calcula el siguiente límite:

View this question

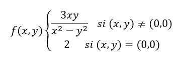
Podemos afirmar que la siguiente función es continua:

0%
100%
View this question

Calcula el siguiente límite reiterado:

0%
0%
0%
0%
View this question

Si n>1, y f es una función diferenciable, podemos afirmar que además es continua. 

100%
0%
View this question

Con una variable, para que su límite exista, no han de coincidir sus límites laterales.

0%
100%
View this question

La representación gráfica de las curvas de nivel de la función que vienen dadas por serán:

View this question

Si una función es continua en un intervalo abierto

,

entonces los límites laterales existen en cada punto de ese intervalo. 

100%
0%
View this question

Determina si el vector es unitario

View this question

Encuentra el dominio de la función

0%
0%
View this question

Want instant access to all verified answers on moodle.unizar.es?

Get Unlimited Answers To Exam Questions - Install Crowdly Extension Now!

Browser

Add to Chrome