logo

Crowdly

Browser

Add to Chrome

Matemáticas I (2024/2025)

Looking for Matemáticas I (2024/2025) test answers and solutions? Browse our comprehensive collection of verified answers for Matemáticas I (2024/2025) at moodle.unizar.es.

Get instant access to accurate answers and detailed explanations for your course questions. Our community-driven platform helps students succeed!

El rango de la matriz  es

0%
0%
0%
View this question

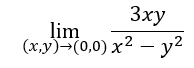
Calcula el siguiente límite direccional:

0%
0%
0%
0%
View this question

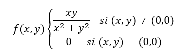
Podemos afirmar que la siguiente función es continua:

100%
0%
View this question

Dada la siguiente función F(x, y) = ln(x)*y2 + x + ey. Calcula la derivada parcial respecto de x.

View this question

La derivada de f en el punto x0 es la pendiente de la recta tangente a la curva y= f(x) en el punto (x0, f(x0)).

100%
0%
View this question

Si f es continua en x0, f es derivable en x0.

100%
0%
View this question
Dada la siguiente función F(x,y) = . Calcula el valor de la derivada parcial respecto de x:
0%
0%
0%
0%
View this question

Dada la función F(L,K) = (3L2+1)1/2(K-1). Calcula la derivada parcial respecto de K:

View this question

Calcula el siguiente límite direccional:

View this question

Si existe el límite de una f(x) cuando x tiende a x0, pero no coincide con f(x0), f(x) es discontinua evitable en x0.

0%
0%
View this question

Want instant access to all verified answers on moodle.unizar.es?

Get Unlimited Answers To Exam Questions - Install Crowdly Extension Now!

Browser

Add to Chrome